3.在Python中实现快速傅里叶变换(FFT)
加快傅里叶变换的解决方案称为Cooley-Tukey算法,该算法依赖于2个关键改进。
Improvement 1 — The Divide-and-Conquer Method
DFT方程是:
$$X[k]=\sum_{n=0}^{N-1}x[n]e^{-i2\pi\frac{k}{N}n}$$
其中$k$的范围从$0$到$N-1$
让我们将其分为2个半部分,偶数索引$n=2m$以及奇数索引$n=2m+1$
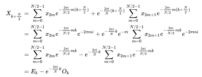
$$X_k = \sum_{m=0}^{N/2 - 1} x_{2m} e^{-\frac{2\pi i}{N} (2m) k} + \sum_{m=0}^{N/2 - 1} x_{2m + 1} e^{-\frac{2\pi i}{N} (2m + 1) k}=E_k+e^{-\frac{2\pi i}{N}}O_k$$
其中$k$的范围从$0$到$\frac{N}{2}-1$
因此,将大小为$N$的原始x向量分为$E_k$和$O_k$,每个大小$N/2$。
由于大小为$N$的向量需要$N^2$计算,因此每个减半向量现在都需要$(N^2)/4$计算。这意味着获得原始大小的傅立叶向量只需要$(N^2)/2$计算。
继续这个过程,直到我们得到大小为1的矢量。要注意的是,由于我们将输入数组分为2半,因此$N$必须是2的倍数。如果不是,则可以通过用零填充末端来扩展数组。
由此,时间复杂度从$O(n^2)$变成$O(nlogn)$,其中基底为2。
Improvement 2 — Periodicity of Sinusoidal Functions


来自https://en.wikipedia.org/wiki/Cooley%E2%80%93Tukey_FFT_algorithm
总而言之,如果$N=2000$,我们只需要计算前1000个值的傅里叶向量,并在下半重复使用。
让我们在Python中实现FFT
1 | def FFT(x): |
本博客所有文章除特别声明外,均采用 CC BY-NC-SA 4.0 许可协议。转载请注明来源 一个数字自留地-DIY知识库!







